三倍頻感應耐壓發生器應該如何選擇?
發布時間:2019-08-08
瀏覽數:123
前面講述了三倍頻感應耐壓發生器的介紹和工作原理,想必大家對三倍頻感應耐壓發生器有了基本的了解。但是如何選擇三倍頻感應耐壓發生器呢?本文中為大家總結了幾點。

1、試驗電源品類的選擇
在電壓互感器感應耐壓試驗時,施加在互感器繞組上的試驗電壓高于運行電壓倍數,要滿足試驗要求使鐵芯不過勵磁,只能提高試驗電源頻率,工程中選擇三倍頻變壓器一般就可以滿足電壓互感器感應耐壓試驗的要求。
2、三倍頻發生器輸入電壓的選擇
三倍頻發生器輸入電壓高低很關鍵。輸入電壓太低,三倍頻發生器輸出3次諧波含量低,導致輸出電壓低;輸入電壓太高,三倍頻發生器3次以上諧波高,輸出波形變差,輸出效率變低。當輸入電壓不合適時,可使用調壓器調節合適的勵磁電壓。
3、試驗電壓的選擇
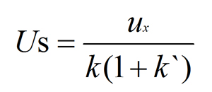
電壓互感器感應耐壓試驗時,試驗電壓頻率較高,被試互感器為容性負荷,為了避免“容升”的影響,一般要求試驗電壓在高壓側測量。若在低壓側測量,應考慮“容升”問題,此時低壓側施加的試驗電壓應按下式計算,
即
式中:Us——低壓側試驗電壓,V;
ux——高壓側試驗電壓,V;
k——電壓互感器變比;
k,——容升修正系數。
4、試驗儀器設備的選擇
由于電壓互感器感應耐壓試驗時呈容性負荷狀態,為減少試驗設備容量、避免倍頻諧振,故應根據電壓互感器不同電壓等級在其二次繞組或輔助繞組接入補償電感,被試電壓互感器仍呈容性。
國電中星是電力測試設備生產廠家,不僅生產各種高壓試驗設備,還可提供專業的技術支持,為新老客戶解疑答惑,受到一大批客戶的高度信賴,歡迎選購!
027-65526006
027-65526007
在線客服